Bloomberght
SON DAKİKA
Merkez Bankası ve VİOP: Tamam mı devam mı?
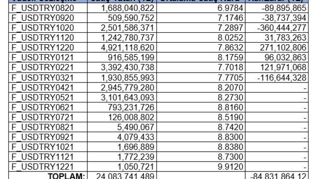
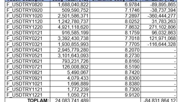
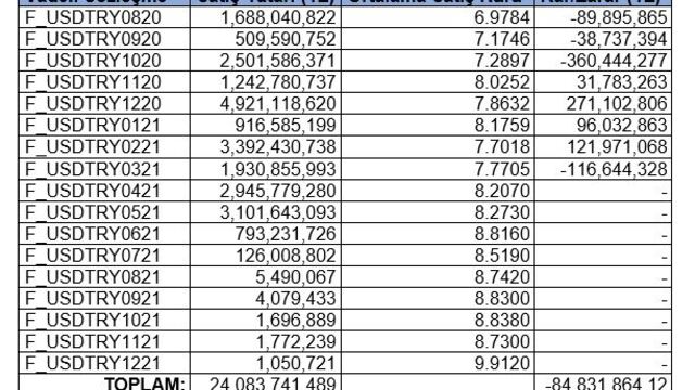
Son günlerin en çok tartışılan konularından birisi Türkiye Cumhuriyet Merkez Bankası'nın (TCMB) rezervleri ve bu rezervlerdeki değişim. Bu konuda yorum yapmak çok kolay değil. Keza elimizde TCMB'nin son yıllarda yaptığı döviz işlemleriyle ilgili net bir veri seti yok. Ancak TCMB'nin 2018 yılından...
Merkez Bankası ve VİOP: Tamam mı devam mı?
OPEC Petrol Fiyatlarındaki Ralliyi Devam Ettirebilecek mi?
4-5 Mart'taki OPEC+ toplantısı yaklaşırken petrol fiyatları geçtiğimiz hafta son 13 ayın zirvesine çıktı. Brent petrol 66 dolara ulaşırken Amerikan Tipi Ham Petrol (WTI) ise 63 dolar ile rekor kırdı. Geçen yıl 20 Nisan günü negatif 47 doları gören petrol fiyatlarındaki geri dönüş çok dikkat çekici....
OPEC Petrol Fiyatlarındaki Ralliyi Devam Ettirebilecek mi?
Metaller 2021'e girerken yükselişlerini sürdürebilecekler mi?
Demir cevheri fiyatlarının Mart ayındaki dip seviyelerinden bu yana %100'ün üzerinde arttığını; sanayinin nabzını en iyi gösteren bakır fiyatlarının bu dönemde son yedi yılın en yüksek seviyesine ulaşarak %68 yukarı gittiğini biliyor musunuz? Bu iniş ve çıkışlarda hiç kuşkusuz en önemli sebep tüm...
Metaller 2021'e girerken yükselişlerini sürdürebilecekler mi?
OPEC Petrol Fiyatlarına Destek Olmaya Devam Edebilecek mi?
Nisan ayında tarihinde ilk defa negatif fiyatları gören petrol OPEC'in çabasıyla Mayıs ayı içerisinde 20 dolardan hızlı bir şekilde 40 dolar seviyesine çıkmış ve son beş aydır bu seviyede seyrederek bir denge bulmuştu. OPEC'in 19 Ekim'deki "Bakanlar Ortak İzleme Komitesi" toplantısı fiyatlara...
OPEC Petrol Fiyatlarına Destek Olmaya Devam Edebilecek mi?
Borsanın büyükleri risk yönetimi amaçlı türev araç kullanımını artırıyor
Türk Lirası'nın yabancı para birimleri karşısında son yıllarda değer kaybetmesi özellikle halka açık büyük firmalarımızı bilanço içi korunma yöntemleri ve türev araç kullanımıyla risklerini yönetmeye yöneltti. Deriva Danışmanlık'ın 30 Haziran 2020 tarihli mali tablolar dikkate alınarak yaptığı son...
Borsanın büyükleri risk yönetimi amaçlı türev araç kullanımını artırıyor